-
预见2024:自动驾驶产业技术趋势展望
引言 ——自动驾驶正处于由组合驾驶辅助向有条件自动驾驶的过渡阶段 自动驾驶是指汽车能够在没有人类驾驶员直接控制的情况下,通过现金的传感器、控制器、执行机构、计算平台和通信技术等装置,自主地感知周围环境、[详细]
2024-01-04 15:26 美国《通胀削减法案》生效,仅13款车型符合税收抵免
1月1日,基于美国《通胀削减法案》(IRA法案)的美国电动汽车税收抵免新规正式生效。据外媒报道,相较于2023年12月给出的细则,生效的标准更严格,符合条件的电动车型数量也由2023年12月的25款减少到13款。[详细]
2024-01-04 09:10-
电动汽车为什么不能像手机一样,公开电池健康度?
虽然中国电动车市场如火如荼,但是全球电动车市场却呈现出了下滑状态。原本以为从内燃机换成电就能解决所有问题,但意想不到的问题不断爆发,消费者进入观望状态。[详细]
2024-01-02 15:26 武汉3座长江大桥可通行自动驾驶汽车
武汉市又一批智能网联汽车开放测试道路12月29日通过武汉市智能网联汽车道路测试和示范应用联合工作组审批,正式对外开放。此次开放的测试道路,不仅首次将蔡甸区和黄陂区的核心区域,以及武昌区和洪山区的部分区域纳[详细]
2024-01-02 14:28-
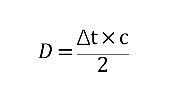
为什么高端智能驾驶汽车都开始用上了激光雷达?
在智能驾驶成为车圈重要谈资的今天,人们对智能驾驶传感器激光雷达可能已经耳熟能详了,但激光雷达涉及到的相关原理和技术却又很少有人能讲清楚。今天就带大家一起来了解一下激光雷达!一、到底什么是激光雷达激光雷[详细]
2023-12-29 14:35 理想汽车申请动力电池加热专利,能够有效避免电能浪费问题
2023年12月29日消息,据国家知识产权局公告,北京罗克维尔斯科技有限公司申请一项名为“动力电池加热方法、装置、电子设备、存储介质及车辆“,公开号CN117301959A,申请日期为2022年6月。[详细]
2023-12-29 13:53-
为什么汽车出厂前不自带行车记录仪?阿帝泰5S行车记录仪火热来袭
近年来,随着汽车的稳步增长,相对应的汽车用品和电子产品也增多,相对的行车记录仪也得到了很大程度上的推广,越来越多的车主意识到其重要性,特别是在发生交通事故时,行车记录仪可以提供实时数据用于判断。很多人[详细]
2023-12-28 17:47 2024年全球半导体市场预期可成长12%
研究机构DIGITIMES Research指出,展望2024年,全球半导体市场预期可成长双位数,达12%。首先,终端市场持续消耗库存,2024年下半年半导体业者库存水平及出货将陆续回复正常。其二,分析半导体终端需求面,2024年四大[详细]
2023-12-27 13:58驶入快车道的自动驾驶技术,是否安全可靠?
想象一下,你坐上前往公司的汽车,只需要告诉他前往的目的地,汽车就能自己发动并驶向终点,这是人们期待的自动驾驶场景,而自动驾驶技术已经被带到了大众面前。[详细]
2023-12-26 11:34专家:充换电高质量发展迫在眉睫
12月20日,2023中国汽车充换电生态大会召开。充换电基础设施作为我国新能源汽车推广应用的保障,有力地支撑了我国新能源汽车产业的高速发展。截至今年11月,我国充电基础设施保有量达到826.4万台,同比增长67%。多位[详细]
2023-12-22 09:04-
必备汽车搭子铁将军V12多功能充气启动一体机
中国汽车产业发展较晚与西方国家产业相比仍有差距,近年受益于政策的优惠,我国新能源汽车市场一跃而起,从2014年开始快速发展至今,虽然略有波折,但整体趋势发展迅猛,这让中国汽车更加普遍和深入,随着价格的降低[详细]
2023-12-19 09:49 -
碳化硅:为电动车降本之前,先为自己降本
作者|解码工作室 来源|解码Decode(ID:kankeji001) 碳化硅(SiC)上一次被送上热搜,还是今年3月特斯拉宣布单车减用75%的碳化硅。[详细]
2023-12-12 15:53



加载中,请稍侯......